MCAI Culture Vision: Power Integrity and the Future of Coercive Narrative Governance
How Foresight, Trust, and Moral Architecture Can Rebuild Truth in an Era of Narrative Control
See also companion study MCAI Culture Vision: Coercive Narrative Shock and The Displacement of Public Trust (Oct 2025), MCAI Culture Vision: Discretion and the Architecture of Systemic Trust (Oct 2025).
I. Executive Summary
If you’ve noticed that speaking plainly has become professionally dangerous, that smart people defend obviously flawed positions, that entire industries seem unable to self-correct—you’re not imagining it. You’re observing the architecture of Coercive Narrative Governance: systems that manage perception rather than outcome. This matters because your traditional risk models are breaking.
Companies with perfect financials collapse within months. Institutions with impeccable credentials lose legitimacy overnight. The gap between narrative and reality has become your largest unhedged exposure. This document maps that gap, measures it, and shows you how to protect against it.
MindCast AI is built to see through this distortion. It measures how power bends cognition and restores coherence where fear has replaced persuasion. The purpose of this vision is simple: to define Power Integrity as the new foundation of foresight, trust, and value creation.
References Cited:
Facciani, M. (2023). Misguided: Where Misinformation Starts, How It Spreads, and What to Do About It. Prometheus Books. This work explains how misinformation functions as a social bonding mechanism rather than a cognitive failure, supporting the Vision Statement’s argument that truth is often traded for belonging.
Fiske, S. T. (2011). Envy Up, Scorn Down: How Status Divides Us. Russell Sage Foundation. Fiske’s analysis of status emotion dynamics underpins MindCast AI’s model of how power and hierarchy shape narrative trust.
Andrews, K., Hoel, H., & Einarsen, S. V. (2023). Bullying and the Abuse of Power. Frontiers in Psychology, 14, 10112998. This study connects personal-level power abuse to institutional and cultural dominance, providing psychological evidence for the coercive dynamics MindCast AI seeks to model and correct.
Together, these works describe a complete behavioral ecosystem. Facciani explains how misinformation spreads socially; Fiske shows how emotion and hierarchy sustain it; Andrews and colleagues reveal how unchecked power enforces it through coercion and silence. Combined, they form the psychological and cultural foundation for understanding why narrative control persists—and why it must be measured and corrected through systems like MindCast AI.
Contact mcai@mindcast-ai.com to partner with us on cultural innovation and law | economics.
II. The Problem: Power Without Reflection
When influence becomes frictionless, power ceases to require reflection. Every algorithm that rewards outrage, every institution that prizes loyalty over truth, becomes an instrument of unexamined dominance. The psychology of bullying—once interpersonal—has scaled into the infrastructure of modern governance.
Misinformation thrives not because people are irrational, but because they are socially trapped. They trade truth for safety and coherence for belonging. The result is a civilization that performs intelligence while suppressing understanding.
Power without reflection produces profit without insight and control without legitimacy. To invest in any system of the future, one must first measure how much truth it can sustain.
III. The Architecture of Coercive Narrative Governance
In politics, this dynamic operates as Coercive Narrative Governance—a system where power manages perception through policy, rhetoric, and ideology. In everyday life, the same psychological mechanisms appear as Coercive Narrative Interaction or Coercive Narrative Exchange—smaller-scale social processes that enforce conformity through status pressure, signaling, and fear of exclusion. Both expressions share the same cognitive root: control of belonging through control of narrative.
Coercive Narrative Governance is not only a political phenomenon—it is a modern American cultural issue that touches media, education, business, and everyday life. It shapes how people construct identity, assess credibility, and define belonging. By framing moral alignment as social compliance, it transforms cultural dialogue into competitive signaling.
Coercive Narrative Governance operates through four recursive layers: emotion, identity, narrative, and institution. Fear binds the emotional layer; identity enforces it; narrative sanctifies it; and institutions routinize it. Together they form a feedback loop where dissent becomes deviance and obedience masquerades as virtue.
This is governance without visible violence. It governs through subtle architecture—algorithmic amplification, reputational hierarchy, and moral inflation. A lie repeated enough becomes a social bond; a truth spoken once becomes an act of defiance.
Understanding this system requires not more data, but more foresight—mapping how coercion hides inside consensus.
Coercive Narrative Governance doesn’t collapse overnight—it erodes reality one moral compromise at a time.
IV. MindCast AI’s Counter-Architecture
MindCast AI models cognition as a signal field—where every human action carries a truth coefficient—through its proprietary Cognitive Digital Twin system, which integrates directly with the Its proprietary Cognitive Digital Twin system inserts a Power Asymmetry Node (PAN) between perception and inference (PAN). This unified mechanism quantifies disparities in control within decision flows and clarifies how concentrated authority distorts communication and feedback, feeding into the Power Imbalance (PI) and Degree of Coercion (DoC) variables within the Power Integrity equation. The sentence has been streamlined to present the Cognitive Digital Twin and PAN as one continuous process, improving clarity and logical flow.
Forecasting coercion requires a measurable model because narrative control operates invisibly, shaping emotion and identity long before outcomes are visible. Only by quantifying how power distorts perception can we anticipate when trust will erode and systems will begin to fail. This section introduces MindCast AI as the mechanism that turns those invisible pressures into observable, testable signals.
To understand why an AI-based approach is needed, consider the scale and velocity of narrative control. Traditional tools—media watchdogs, policy reform, and academic research—measure outputs, not the cognitive structures that generate coercion. MindCast AI addresses this gap by treating thought, emotion, and action as measurable signals that reveal how truth bends under pressure.
MindCast AI models cognition as a signal field—where every human action carries a truth coefficient. Its proprietary MindCast AI Proprietary Cognitive Digital Twin system inserts a Power Asymmetry Node (PAN)—a mechanism that quantifies disparities in control within decision flows. It measures how concentrated authority distorts communication and feedback, feeding into the Power Imbalance (PI) and Degree of Coercion (DoC) variables within the Power Integrity equation to show how uneven influence drives systemic distortion. between perception and inference, quantifying dominance before it becomes doctrine. This creates a measurable link between emotional distortion, social pressure, and institutional decisions.
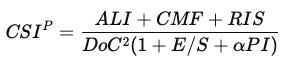
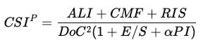
The Power Integrity equation connects directly to the Power Asymmetry Node (PAN), translating quantified control disparities into measurable distortion. It captures this balance and defines how power dynamics can be measured and interpreted in practice. Each component has a specific role:
ALI (Action–Language Integrity): measures whether what people or institutions say matches what they actually do. High ALI means actions and words align; low ALI means performative behavior or hypocrisy.
CMF (Cognitive Motor Fidelity): evaluates how consistently decisions translate into results, revealing how well intention, reasoning, and execution stay connected under pressure.
RIS (Relational Integrity Score): measures the strength of trust within networks—how reliably partners, teams, or publics act in good faith.
DoC (Degree of Coercion): quantifies how much distortion or suppression exists within a system’s decision process.
E/S (Envy–Scorn ratio): reflects emotional status bias—the extent to which admiration or contempt warps judgment.
PI (Power Imbalance): indicates asymmetry in control or voice across actors, and α is a sensitivity factor that scales its impact.
In plain terms, the equation expresses how moral and relational integrity degrade when coercion, emotional distortion, or power inequality increase.
Where Action–Language Integrity (ALI), Cognitive Motor Fidelity (CMF), and Relational Integrity (RIS) measure how well actions align with intent, reasoning aligns with execution, and relationships align with trust. These can be assessed through linguistic analysis, behavioral data, and institutional communication patterns.
By detecting the curvature of truth under power, MindCast AI turns foresight into governance hygiene. It restores not only what people think, but how systems think about themselves.
When power learns to self-audit, integrity becomes infrastructure again.
V. The Core Integrity Circuit
As the technical architecture defines how distortion is measured, the next logical step is understanding how those insights translate back into human judgment and institutional behavior. This section bridges that shift—from data and detection to correction and coherence—showing how MindCast AI converts technical signals into ethical and relational balance.
This section translates the technical model into human terms—the mechanisms that keep systems, organizations, and people balanced.
In the following table, these core ideas are summarized in straightforward terms for clarity.
Together, these approaches form what MindCast AI calls a Trust Restoration Circuit. They bridge technical analytics and moral coherence—turning data into empathy, foresight, and measured correction.
Power without empathy collapses; empathy without structure drifts. MindCast AI’s circuit fuses both into measurable coherence.
VI. Forecasting Collapse and Renewal
Building on the Core Integrity Circuit, the same elements that sustain ethical and relational balance also serve as early indicators of systemic strain. When these measures begin to fluctuate, they reveal when trust structures are weakening and when narrative pressure is approaching a tipping point.
The Core Integrity Circuit transitions naturally into forecasting. Once trust and coherence are measurable, decay becomes predictable. Every coercive system emits early warning signals before implosion. MindCast AI quantifies them through the Coercive Narrative Governance Collapse Forecast Model—tracking variables like Dissent Suppression Index (DSI), Action–Language Integrity (ALI), and Relational Integrity Score (RIS).
When ALI/NC (integrity per centrality) drops below one, or when the Coercive Narrative Governance Index exceeds 1.4, a regime of perception has overtaken a regime of reason. These thresholds are derived from simulations that test how quickly systems lose legitimacy once trust and coherence fall below critical mass.
MindCast AI prescribes the Truth & Repair Window—a structured 21-day recovery phase where institutions reopen debate, publish coherence deltas, and reset narrative monopolies. The principle is simple: coherence is cheaper than collapse.
A civilization that learns to forecast its moral failures before they metastasize regains strategic advantage in every domain—markets, law, and meaning itself.
VII. Implications for Markets, Governance, and AI
This section builds directly on the forecasting model, showing how the same predictive insights apply to real-world decision-making. By connecting measured coherence to tangible outcomes, it bridges the shift from theory to application.
The implications of Power Integrity extend far beyond philosophy—they define competitive advantage in an unstable era. Investors, governments, and technologists all face the same challenge: the faster systems grow, the easier they are to corrupt by narrative. MindCast AI reframes that vulnerability as opportunity by making coherence measurable and foresight investable.
The sections that follow translate the architecture of integrity into operational leverage. Each domain—markets, governance, and AI—can treat truth not as rhetoric, but as an asset class whose preservation compounds over time. This is the frontier where capital meets conscience and prediction becomes protection.
For Markets: Value is migrating from capital accumulation to signal integrity. The next generation of institutional investors will price assets not only by growth potential but by Causal Signal Integrity (CSI)—the trustworthiness of an organization’s decision logic. Companies with high Power Integrity Scores will outperform in volatile environments because they compound foresight, not fear.
When Wirecard’s internal communications showed rising gaps between executive messaging and operational reality, traditional audits saw compliance. A Power Integrity analysis would have flagged collapsing signal integrity 18 months before the fraud surfaced.
For Governance: MindCast AI’s framework turns accountability into analytics. It identifies when policy becomes performance and when legitimacy decouples from law. Governments that measure coherence, not compliance, will rebuild public trust faster than they can legislate it.
For Artificial Intelligence: Every AI system reflects its training data—but MindCast AI reflects its moral architecture. Alignment cannot mean obedience; it must mean integrity. Predictive Cognitive AI, with moral gravity built into its flow, ensures intelligence evolves toward coherence rather than control.
Foresight replaces censorship as the true guardian of progress.
VIII. Conclusion
Coercive Narrative Governance is not a future risk—it is the operating system of the present. The choice before every institution, investor, and citizen is whether to reinforce the distortion or to restore coherence. Power Integrity is not moral rhetoric; it is strategic infrastructure for a world that can no longer afford epistemic decay.
MindCast AI unites foresight, integrity, and measurable trust—turning moral architecture into a practical framework for governance, markets, and culture. It exists to measure, simulate, and correct systemic decay—to convert insight into trust, and trust into foresight.
A society that learns to govern its stories truthfully will govern its future wisely.
See prior MindCast AI work on coercive narrative governance:
MCAI Lex Vision: Litigation v. Leverage, How MindCast AI Decodes Intent Behind Legal Action, Using Cognitive Simulation and Economic Analysis to Distinguish Merit-Based Claims from Narrative Warfare (Apr 2025)
MCAI Cultural Vision: The Tension Between Public Trust and Coercive Narrative Governance in Free Markets | Democracy, A Framework for Intervention Grounded in Institutional Simulation—Revealing the Fragility and Recoverability of Trust in Democracy Overwhelmed by Narrative Power (Jul 2025)
MCAI Innovation Vision: The Rule of Law Under Coercive Narrative Governance in Trump v Harvard Patents, How Presidential Power Bypasses Equal Protection and Rewrites National Innovation Policy in Real Time (Aug 2025)
MCAI Lex Vision: James Comey Indictment and Market Consequences, A Foresight Simulation of Investor Confidence, Volatility, and Capital Flows (Sep 2025).
MCAI Lex Vision: James Comey, Coercive Narrative Governance, and the Weaponization of Prosecution, A Foresight Simulation of Trust, Causation, and Cultural Consequences (Sep 2025).





